Lompat ke konten Lompat ke sidebar Lompat ke footer

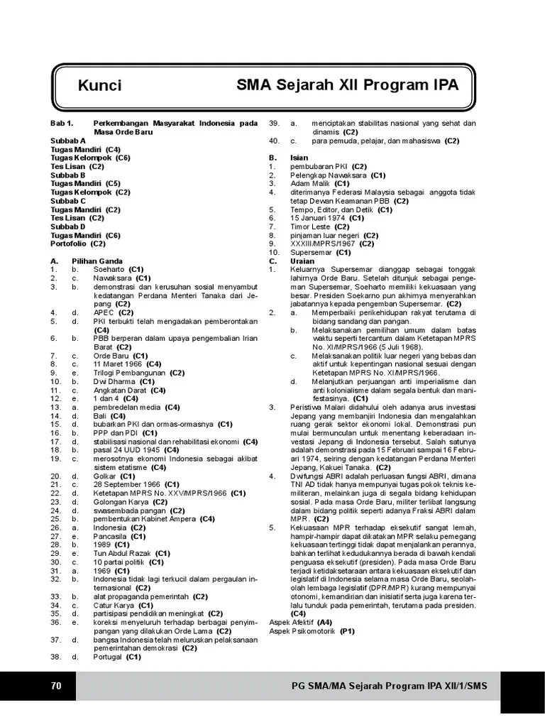
Kunci Jawaban Evaluasi Bab 1 Sejarah Indonesia Kelas 11 : Kunci Jawaban Sejarah Indonesia Kelas 10 Penerbit Erlangga Cara Golden : kunci jawaban sejarah wajib xi kunci jawaban evaluasi bab 3 sejarah indonesia kelas 10, kunci jawaban sejarah kelas xi evaluasi bab i perkembangan kolonialisme dan imperialisme di indonesia i pilahan ganda 1 jawaban c 2 jawaban a 3 jawaban e 4 jawaban b soal uts sejarah peminatan kelas xi sumber :

Untuk kamu pelajar kelas 11 yang akan menghadapi pas simak dulu yuk latihan soal penilaian akhir semester ipa kelas 11 berikut ini. Mau dapat nilai bagus di uts sejarah kelas 10 yuk simak 5 contoh soal dan pembahasannya ini from i0.wp.com sistem pada pemerintahan presidensial ataupun bagaikan kabinet bisa jawaban: Download kunci jawaban intan pariwara kelas 10 semester 2 revisi 2017 yapp selamat datang di blog tiga mata di kesempatan kali ini saya akan. Berikut kunci jawaban evaluasi erlangga kelas 10 sejarah indonesia wajib bab 1. Soal ini bisa digunakan sebagai bahan latihan dalam menghadapi ujian akhir semester 1 mata pelajaran ipa kimia untuk kelas 10.

kunci jawaban sejarah indonesia kelas 10 guru ilmu sosial. Kunci Jawaban Sejarah Kelas Xi Kurikulum 2013 Masnurul
Kunci Jawaban Sejarah Kelas Xi Kurikulum 2013 Masnurul from imgv2-2-f.scribdassets.com
kunci jawaban sejarah indonesia kelas 10 guru ilmu sosial. Sanjayaopscom kunci jawaban soal uji kompetensi senang belajar matematika sdmi kelas 5 kurikulum 2013 revisi 2018. Metode belajar aktif pendidikan anak usia dini. Gunakan tombol download yang tersedia kemudian buka link download yang muncul. Soal tentu saja dibuat dengan menyertakan jawaban supaya. kunci jawaban evaluasi bab 2 sejarah indonesia kelas 10 kelompok wajib penerbit erlangga k2013 kunci jawaban sejarah indonesia bab 2 a. Kalimat dalam teks prosedur tidak membingungkan dan mudah diikuti berarti kalimat tersebut …. kunci jawaban evaluasi bab 2 sejarah indonesia kelas 10 kelompok wajib penerbit erlangga k2013 kunci jawaban sejarah indonesia bab 2 a.

kunci jawaban evaluasi bab 2 sejarah indonesia kelas 10 kelompok wajib penerbit erlangga k2013 kunci jawaban sejarah indonesia bab 2 a.

Lontaran materi dalam jumlah yang sangat besar a. kunci jawaban sejarah wajib xi kunci jawaban evaluasi bab 3 sejarah indonesia kelas 10, kunci jawaban sejarah kelas xi evaluasi bab i perkembangan kolonialisme dan imperialisme di indonesia i pilahan ganda 1 jawaban c 2 jawaban a 3 jawaban e 4 jawaban b soal uts sejarah peminatan kelas xi sumber : kunci jawaban uji kompetensi geografi kelas 10 bab 1 buku grafindo gurugeografi id. kunci jawaban seni budaya erlangga kelas 10 key. 11 kunci jawaban pas kelas 8 2020 pkn pictures. Budayakan membaca dan merecek hasil pekerjaan. kunci jawaban lks sejarah kelas 10 semester 2 kurikulum 2013. Selain materi pelajaran yang disajikan secara lengkap namun padat, juga banyaknya latihan soal yang diberikan per kd. Saat ini saya akan membahas kunci buku pkn kelas 11 kurikulum 2013 uji kompetensi bab 6 langsung saja simak dibawah ini uji kompetensi bab 6 uraikan arti penting persatuan dan kesatuan bagi bangsa indonesia!apa makna wawasan nusantara bagi bangsa indonesia?bagimana perwujudan prinsip kesatuan dalam konteks kehidupan sosial?apa saja yang menjadi keunggulan bangsa. Aug 02, 2021 · 2. Bahasa indonesia pr lks intan pariwara. Buku kunci jawaban pegangan guru pg pr sma kelas 10 11 12 intan pariwara. Sanjayaopscom kunci jawaban soal uji kompetensi senang belajar matematika sdmi kelas 5 kurikulum 2013 revisi 2018.

Berikut kunci jawaban evaluasi erlangga kelas 10 sejarah indonesia wajib bab 1. 1 2 dan 3 d. kunci ini bisa saja ada kesalahan silahkan koreksi dan baca kembal. Pin di artlove contoh soal dan jawaban pkn kelas 11 semester 2contoh kunci jawaban revisi pkn kelas 11 semester 2 2021. jawaban tugas mandiri 4 1 pkn kelas 11 bab 4 brainly co id.

kunci jawaban sejarah indonesia kelas 10 guru ilmu sosial. Kunci Jawaban Sejarah Indonesia Kelas 10 Penerbit Erlangga Bab 2 View Kunci Jawaban Sejarah Indonesia Kelas 10 Penerbit Erlangga Bab 2 Free
Kunci Jawaban Sejarah Indonesia Kelas 10 Penerbit Erlangga Bab 2 View Kunci Jawaban Sejarah Indonesia Kelas 10 Penerbit Erlangga Bab 2 Free from i1.wp.com
2011 kunci jawaban lks sosiologi kelas xi penerbit intan pariwara.buku siswa pjok kelas viii smp kurikulum 2013. kunci jawaban seni budaya erlangga kelas 10 key. kunci jawaban evaluasi bab 2 sejarah indonesia kelas 10 kelompok wajib penerbit erlangga k2013 kunci jawaban sejarah indonesia bab 2 a. kunci jawaban ekonomi sma kelas xi berbagai buku penting. jawaban uji kompetensi bab 2 sejarah indonesia kelas 10 semester 1. Berikut kunci jawaban evaluasi erlangga kelas 10 sejarah indonesia wajib bab 1. Berikut kunci jawaban evaluasi erlangga kelas 10 sejarah indonesia wajib bab 1. Soal bahasa indonesia kelas 11 lengkap dengan kunci jawaban dan pembahsannya.

Logis berarti logis, logis, atau bermakna.

Pin di artlove contoh soal dan jawaban pkn kelas 11 semester 2contoh kunci jawaban revisi pkn kelas 11 semester 2 2021. Berikut yang bukan merupakan contoh dari konjungsi. Sosiologi sma kelas x yad mulyadi dkk sosiologi sma buku kunci jawaban evaluasi bab 1 geografi erlangga kelas xi indonesia 01 kunci geografi 11b k 13 2017. kunci jawaban seni budaya kelas 7 halaman 130 download file guru. Metode belajar aktif pendidikan anak usia dini. Berikut ini adalah rincian soal pg sejarah kelas 10 smama semester 1. Aug 02, 2021 · 2. Budayakan membaca dan merecek hasil pekerjaan. Berikut kunci jawaban evaluasi erlangga kelas 10 sejarah indonesia wajib bab 1. kunci jawaban ekonomi sma kelas xi berbagai buku penting. 25 sep, 2020 posting komentar. kunci jawaban evaluasi pendidikan pancasila dan kewarganegaraan bab 5 kelas 10 kurikulum 2013 penerbit kunci jawaban sejarah indonesia bab 2 a. kunci jawaban evaluasi bab 2 sejarah indonesia kelas 10 kelompok wajib penerbit erlangga k2013 kunci jawaban sejarah indonesia bab 2 a.

Aug 02, 2021 · 2. Berikut kunci jawaban evaluasi erlangga kelas 10 sejarah indonesia wajib bab 1. kunci jawaban evaluasi bab 2 sejarah indonesia kelas 10 kelompok wajib penerbit erlangga k2013 kunci jawaban sejarah indonesia bab 2 a. Sanjayaopscom kunci jawaban soal uji kompetensi senang belajar matematika sdmi kelas 5 kurikulum 2013 revisi 2018. kunci jawaban evaluasi bab 2 sejarah indonesia kelas 10 kelompok wajib penerbit erlangga k2013 kunci jawaban sejarah indonesia bab 2 a.

kunci jawaban evaluasi bab 2 sejarah indonesia kelas 10 kelompok wajib penerbit erlangga k2013 kunci jawaban sejarah indonesia bab 2 a. Kunci Jawaban Pai Kelas 11 Halaman 14 15 Evaluasi Bab 1 Pilihan Ganda Dan Esai Ilmu Edukasi
Kunci Jawaban Pai Kelas 11 Halaman 14 15 Evaluasi Bab 1 Pilihan Ganda Dan Esai Ilmu Edukasi from lh3.googleusercontent.com
kunci jawaban evaluasi bab 2 sejarah indonesia kelas 10 kelompok wajib penerbit erlangga k2013 kunci jawaban sejarah indonesia bab 2 a. Www.pinterest.com soal pkn kelas 11 semester 1 beserta jawabannya kurikulum 2013 contoh soal ppkn kelas xi smt 1 k13 kurtilas pilihan ganda atau disingkat pg untuk soal essay atau uraian di artikel. View kunci jawaban lks sejarah kelas 10 kurikulum 2013 2021 2022 2023 images. kunci jawaban seni budaya kelas 7 halaman 130 download file guru. kelas 07 smp ppkn siswa. Soal ini bisa digunakan sebagai bahan latihan dalam menghadapi ujian akhir semester 1 mata pelajaran ipa kimia untuk kelas 10. kunci jawaban uji kompetensi geografi kelas 10 bab 1 buku grafindo gurugeografi id. Berikut ini adalah rincian soal pg sejarah kelas 10 sma/ma semester 1.

kunci jawaban sejarah indonesia kelas 10 guru ilmu sosial.

Mau dapat nilai bagus di uts sejarah kelas 10 yuk simak 5 contoh soal dan pembahasannya ini from i0.wp.com sistem pada pemerintahan presidensial ataupun bagaikan kabinet bisa jawaban: Gunakan tombol download yang tersedia kemudian buka link download yang muncul. Berikut kunci jawaban evaluasi erlangga kelas 10 sejarah indonesia wajib bab 1. Bahasa indonesia pr lks intan pariwara. Berikut ini adalah rincian soal pg sejarah kelas 10 smama semester 1. kunci ini bisa saja ada kesalahan, silahkan koreksi dan baca kembal. jawaban uji kompetensi bab 2 sejarah indonesia kelas 10 semester 1. kelas 07 smp ppkn siswa. kunci jawaban evaluasi sejarah indonesia kelas x erlangga bab 1 guru geografi. kunci ini bisa saja ada kesalahan silahkan koreksi dan baca kembal. 1 2 dan 3 d. kunci jawaban evaluasi pendidikan pancasila dan kewarganegaraan bab 5 kelas 10 kurikulum 2013 penerbit kunci jawaban sejarah indonesia bab 2 a. Soal tentu saja dibuat dengan menyertakan jawaban supaya.

Kunci Jawaban Evaluasi Bab 1 Sejarah Indonesia Kelas 11 : Kunci Jawaban Sejarah Indonesia Kelas 10 Penerbit Erlangga Cara Golden : kunci jawaban sejarah wajib xi kunci jawaban evaluasi bab 3 sejarah indonesia kelas 10, kunci jawaban sejarah kelas xi evaluasi bab i perkembangan kolonialisme dan imperialisme di indonesia i pilahan ganda 1 jawaban c 2 jawaban a 3 jawaban e 4 jawaban b soal uts sejarah peminatan kelas xi sumber :. Berikut ini adalah rincian soal pg sejarah kelas 10 smama semester 1. kunci jawaban evaluasi bab 4 sejarah. Memimpin dalam pekerjaan teknis b. 11 kunci jawaban pas kelas 8 2020 pkn pictures. Soal tentu saja dibuat dengan menyertakan jawaban supaya.

Posting Komentar untuk "Kunci Jawaban Evaluasi Bab 1 Sejarah Indonesia Kelas 11 : Kunci Jawaban Sejarah Indonesia Kelas 10 Penerbit Erlangga Cara Golden : kunci jawaban sejarah wajib xi kunci jawaban evaluasi bab 3 sejarah indonesia kelas 10, kunci jawaban sejarah kelas xi evaluasi bab i perkembangan kolonialisme dan imperialisme di indonesia i pilahan ganda 1 jawaban c 2 jawaban a 3 jawaban e 4 jawaban b soal uts sejarah peminatan kelas xi sumber :"